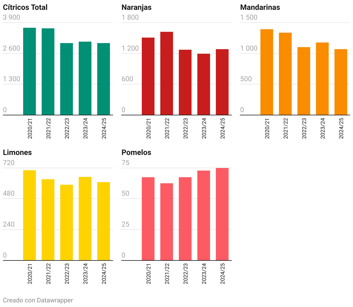
Evolución del volumen de exportaciones españolas de cítricos de 2020/21 a 2024/25

Datos en miles de toneladas